Test Bank for Cost Accounting: Principles and Procedures, 2024 Edition by Pedro P. Guerrero & Jose F. Peralta - Chapter 13 Factory Overhead
Unlock your potential with the official Test Bank for Chapter 13, 'Factory Overhead: Departmentalization,' from the 2024 Edition of 'Cost Accounting: Principles and Procedures' by Guerrero and Peralta. This essential study guide provides a comprehensive collection of multiple-choice questions, complete with verified answers, designed to sharpen your understanding of cost allocation, service vs. producing departments, and overhead management. Perfect for students preparing for exams, this resource helps you master complex concepts and practice with exam-style questions to ensure you pass with confidence.
Show more
Preview 3 of 25 pages
{{ realtimeViews.product }}Users are viewing this page.
5Users are checking out.
$16.00
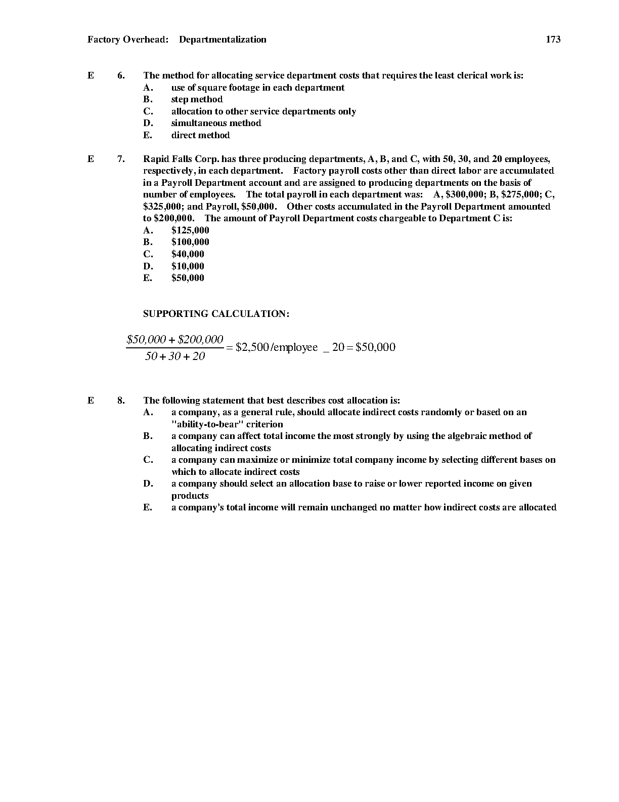
Verified solution by professor
Money Back Guarantee 24/7
Instant Download on Payment
Orders
960
Products
1426
Online users
{{ realtimeViews.website }}
Categories
189
Affiliate earnings
$9896
Hackedexams
HackedExams is the website to download all resources for students who want to pass their exams on their first attempt. Our website offers all exam materials, including practice questions with answers, test banks, study guides, notes, summaries, and more for nursing, computer science, biology, psychology, law, and others. With resources from popular exam bodies like ATI, AQA, OCR, Edexcel, Comptia, Azure, and more, you'll easily find everything you need to get certified. Avoid resitting exams; trust in HackedExams.com to give you the resources to pass on your first attempt. Get access to exams from 2019 to 2023 and start your path to success today. "Avoid resits, get certified within days, and pass your exams on your first attempt."
{{ recentPurchase.name.shorten(30) }}
{{ __('Just purchased') }} "{{ recentPurchase.item_name.shorten(30) }}"
{{ recentPurchase.price }}
{{ userMessage }}